Chapter XI - The Cylinder Head
page 221
page 222
page 223
page 224
page 225
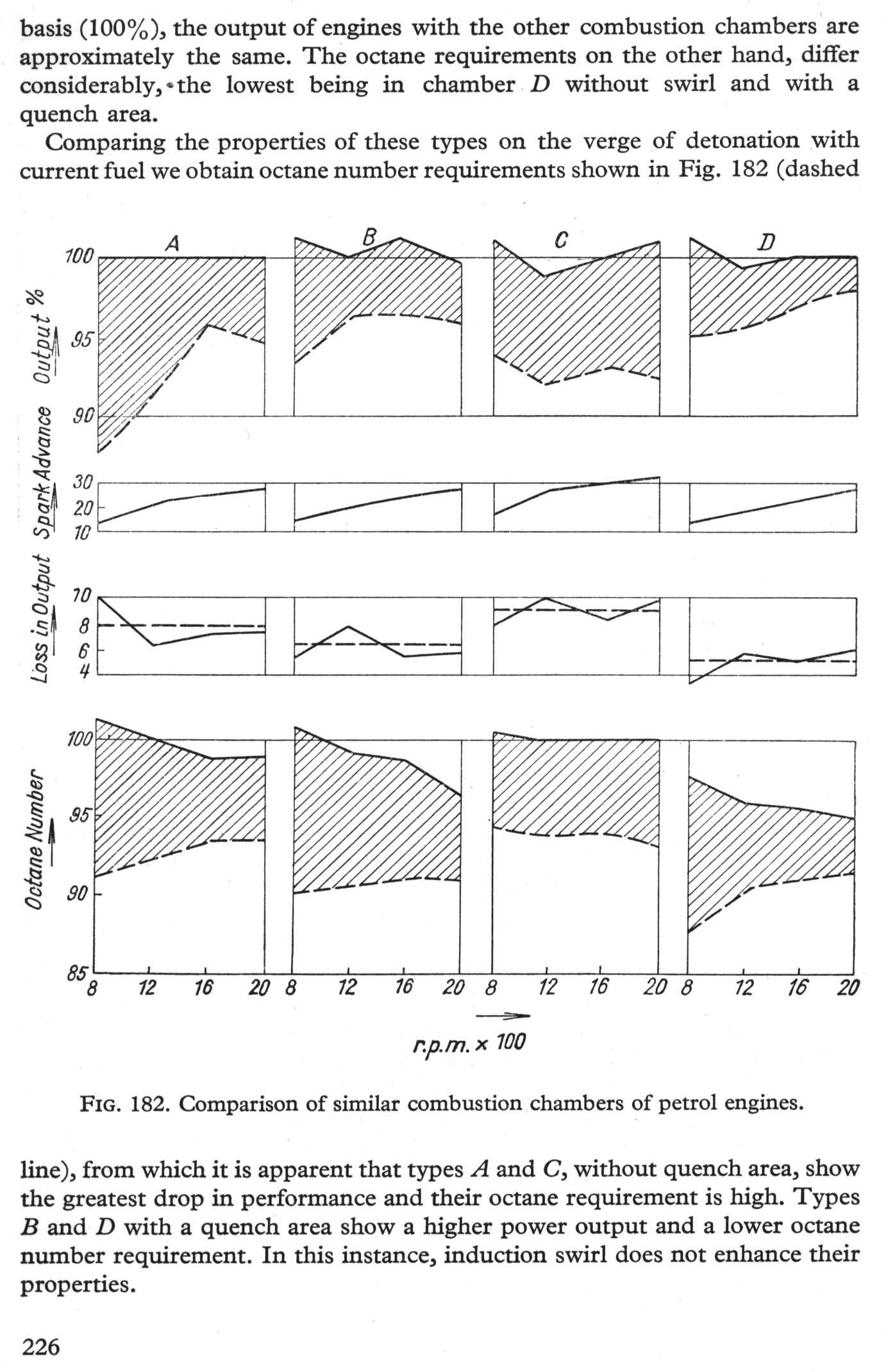
page 226
page 227
page 228
page 229
page 230
page 231
page 232
page 233
page 234
page 235
page 236
page 237
page 238
page 239
page 240
page 241
page 242
page 243
page 243
page 243
page 246
page 247
page 248
page 249
page 250
page 251
page 252
page 253
page 254
page 255
page 256
page 257
page 258
page 259
page 260
page 261
page 262
page 263
page 264
page 265
page 266
page 267
page 268
page 269
page 270
page 271
page 271 - color plate
page 272
page 273





















































